一、指数成分选择
1.1 品种选择
我们选择中国商品期货市场中的DCE豆粕、DCE玉米、CZCE菜油、CZCE菜粕、CZCE白糖、CZCE棉花,以及海外商品期货市场中的CBOT大豆、CBOT玉米、CBOT小麦、NYMEX棉花、NYMEX 11号糖、马来西亚棕榈油(后文简称:马棕油)等品种,进行本指数编制。
1.2 合约选择
本指数以上述品种所有上市合约中持仓量最大的合约作为主力合约判定标准,选择每个上市品种的主力合约日收益率数据进行指数编制,并采取动态换月规则,不同品种的主力合约选择如表1所示。
表1 主力合约对照表
品种类型 |
品种名称 |
主力合约 |
国内品种 |
豆粕 |
1月、5月、9月 |
玉米 |
||
菜油 |
||
菜粕 |
||
白糖 |
||
棉花 |
||
国外品种 |
CBOT大豆 |
1月、3月、5月、7月、9月、11月 |
CBOT玉米 |
3月、5月、7月、9月、12月 |
|
CBOT小麦 |
3月、5月、7月、9月、12月 |
|
NYMEX棉花 |
3月、5月、7月、12月 |
|
NYMEX 11号糖 |
3月、5月、7月、10月 |
|
马棕油 |
连三合约 |
二、换月策略
指数编制需要考虑每个品种期货合约的换月问题,本指数采取动态周期换月策略,具体步骤如下。
首先,确定合约更换的信号。根据持仓量判断品种对应的主力合约和次主力合约。当次主力合约的持仓量大于主力合约的持仓量时,我们进行换月。
其次,根据历史换月日与当前换月决策日第一个交易日,主力合约和次主力合约的价差确定合约换月周期。定义:
![]()
其中t表示换月日,主力合约和次主力合约的历史价差数据的样本区间为2012.12.31至换月日前。具体换月规则如下:
(1)若主力合约与次主力合约的当前价差绝对值大于等于历史价差序列50%分位数,则分5个交易日匀速更换合约,即每日移仓20%;
(2)若主力合约与次主力合约的当前价差绝对值低于历史价差序列50%分位数,则在1个交易日内完成合约更换。
换月期间的品种合约收益率采取主力合约和次主力合约收益率加权方式生成品种的收益率数据。
三、权重分配原则
指数成分的权重每年更新一次,指数成分的权重依据如下规则进行编制。
3.1 根据产量赋权
首先,本中心通过线下手动收集数据的方式,获得每个品种在每一年度的全球产量,计算各个品种每年的产量同比增长率,具体的计算公式为:
![]()
其中,
为品种
第
年产量的同比增长率,
代表品种
在第
年的产量。
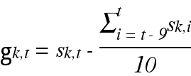
随后,评估当前年份的增长率与历史平均水平的相对位置,衡量标准为本年度的同比增长率与近十年(包括本年度)同比增长率的平均值之间的差,记为
。
的计算公式为:

对近十年的
按照取值进行降序排列,确定本年度
的排名位置
,并根据
进行品种重要程度的计算:
![]()
其中5.5是排名1-10的平均值,若
高于平均值,则
相对0.08会增加,否则会降低。然后对
进行归一化处理,保证所有品种的权重之和为1,得到各品种的初始权重
。
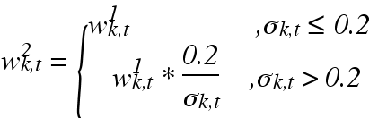
3.2 波动率调整
为降低指数受个别品种波动性过大的影响,本指数实施波动性抑制技术,具体方法如下。
首先,使用各品种主力合约的日收益率数据,计算各品种的历史年化波动率。年波动率的计算时间区间为前一年10月1日至当年9月30日(2013年例外,为2012年12月31日至2013年9月30日)。记品种
在第
年的年波动率为
。
其次,根据年波动率计算波动率修正权重,降低波动率较大品种的权重,具体公式如下:

其中0.2为根据历史经验得到的天气农作物的平均波动率基准。
最后,对
进行归一化处理,保证所有品种的权重之和为1,得到各品种的最终权重,记为
。
四、指数点位计算
计算各品种每个交易日的收盘收益率
![]()
其中,
为品种
在第
个交易日的收盘收益率,
为品种
在第
个交易日的收盘价。
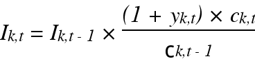
对每个品种进行指数化,将指数的初始点位设置为1000,指数点位计算公式为:
![]()
![]()
其中,
为品种
在第
个交易日对应的指数点位,
代表品种
在第
个交易日对应外币兑人民币的汇率。具体而言,CBOT大豆、CBOT玉米、CBOT小麦、NYMEX棉花、NYMEX 11号糖对应美元兑人民币的汇率,马棕油对应林吉特兑人民币的汇率,国内品种
取1。
按照品种对应权重进行加总,得到商品指数点位:
![]()